資訊中心
發布時間:2021-06-28
吸光度與吸收率是一樣的嗎?我們從兩個概念上來說明。
?
什么是吸光度?吸光度(英文:absorbance)是指光線通過溶液或介質前的入射光強度與光線通過溶液或某一介質后的透射光強度的比值(I0/I1)的以10為底的對數(即lg(I0/I1)),其中I0為入射光強,I1為透射光強,影響吸光度的因素有溶劑類型、溶劑濃度、溶劑溫度等等。吸光度表示公式為:
?
A=-logT = -log(I/Io)
?
什么是吸收率?物體吸收其它物體發射來的輻射能的能力與黑體的吸收能力的比值稱之為“吸收率”。什么是黑度?在同溫度條件下,灰體的全輻射能力與絕對黑體全輻射能力的比值稱之為灰體的“黑度”,通常使用符號ε表示黑度。根據克希霍夫定律,吸收率與黑度在數值上是相等的。凡是將輻射熱全部反射的物體稱為絕對白體,能全部吸收的稱為絕對黑體,能全部透過的則稱為絕對透明體或熱透體。
?
從上述吸光度和吸收率的概念對比來看,兩者完全是不同的概念,描述的現象也是不同的。如果理解了上述概念,那么吸光度和吸收率的區別基本上也不需進行說明了。但是可能還是有人理解不了,以下說明說明下吸光度與吸收率的區別:
?
1、吸收“對象”不同。光也是一種波,也可以當作一種輻射的表現形式。吸光度主要是對光的吸收,而吸收率體現的是對輻射的吸收,對輻射的吸收范圍可寬可窄,可多可少。
2、計算公式不同。
3、吸光度是沒有基準的,而吸收率有黑體吸收能力作為基準的。
4、吸光度一般是用于透明/半透明材料,而吸收率一般是固體材料。
?
?

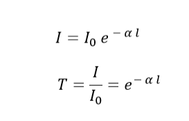
計算公式
?
其中I0為入射光線,I為透射光線,L為材料厚度,其中a為吸收系數。對于固態、氣態樣品,a= Nσ(N,原子數密度atomic number density;σ, 吸光截面optical cross section);對于液體樣品,a= EC ( E , 摩爾吸光系數molar extinction coefficient; C,摩爾濃度)。上述公式中: T代表的就是樣品的透光度,或者透光比,或者透光率(英文: Transmission )。
?
吸光度與光透射率是有關系的,而
霧度儀就是對光透過率和霧度進行測量的光學儀器,霧度儀也能夠對黑度進行測量。