資訊中心
發布時間:2021-06-25
什么是吸光度?吸光度(英文:absorbance)是指光線通過溶液或物質前的入射光強度與光線通過溶液或某一物質后的透射光強度的比值(I0/I1)的以10為底的對數(即lg(I0/I1)),其中I0為入射光強,I1為透射光強,影響它的因素有溶劑、濃度、溫度等等。吸光度表示公式為:
?
A=-logT = -log(I/Io)
?
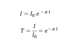
為了更好的舉例,我們假設一束光照射到一個吸收光線的介質表面,在光線通過一定厚度的介質材料后,由于介質本身吸收了一部分光能 ,透射光的強度就要減弱(光透射后的光通量會?。?。吸收介質的濃度愈大、介質的厚度愈大,則光強度的減弱愈顯著。我們可以想象當光線穿透介質時,“細密”的材料分子會對光線進行吸收反射,光線透射能力下降。這個過程中的公式如下:
?

?
圖中參數說明:其中I0為入射光線,I為透射光線,L為材料厚度,其中a為吸收系數。對于固態、氣態樣品,a= Nσ(N,原子數密度atomic number density;σ, 吸光截面optical cross section);對于液體樣品,a= EC ( E , 摩爾吸光系數molar extinction coefficient; C,摩爾濃度)。上述公式中: T代表的就是樣品的透光度,或者透光比,或者透光率(英文: Transmission ,
霧度儀就是對光透過率和霧度進行測量的光學儀器)。
?
光譜學中經常用的吸光度A或者光密度的概念和計算,對于液體樣品,A= εcL , 用這個物理星就可以直觀地得到FTIR中測到的吸光度與樣品本身摩爾吸光,與樣品濃度,厚度,呈線性正比關系。這也是為什么我們要使用吸光度的來描述的原因。我們測量光譜的時候,我們能得到的數據就是光源不經過樣品的強度I ,和經過樣品后的強度Io。吸光度是光譜學中為了更直觀描述樣品吸收的一個物理量變形而已。
?
吸光系數與入射光的波長以及被光通過的介質有關,如果光的波長被固定下來,同一種物質,吸光系數就不變。用另一種方式表示吸光度A:
?
A=abc
a為吸光系數,單位L/(g·cm)
b為光在樣本中經過的距離(通常為比色皿的厚度),單位cm c為溶液濃度,單位g/L
?
A=Ecl
影響吸光度的因數是b和c。a是與溶質有關的一個常量。此外,溫度通過影響c,而影響A。
lg(I0/I1)式中I0是通過均勻的液體介質的一束平行光的入射光的強度;
It是透射光強度;
T是透射比。
A值越大,表示物質對光的吸收越大。根據比爾定律,吸光度與吸光物質的量濃度c成正比,以A對c作圖,可得到光度分析的校準曲線。
?
在多組分體系中,如果各組分的吸光質點彼此不發生作用,那么吸光度便等于各組分吸光度之和,這一規律稱吸光度的加和性。據此可以進行多組分同時測定及某些化學反應平衡常數的測定。在吸光度測定中,為抵消吸收池對入射光的吸收、反射以及溶劑、試劑等對入射光的吸收、散射等因素,可選用雙光束分光光度計,并選光學性質相同、厚度相等的吸收池分別盛待測溶液和參比溶液。